BlockSim Example 4 - Modeling Failure Modes (RBDs)

Examples provided here are purely for illustrating software features and functionality.

BlockSim Example 4 – Modeling Failure Modes (RBDs)

Download Example File for Version 10 (*.rsgz10) or Version 9 (*.rsr9)

When thinking of a reliability block diagram (RBD), the application that most often comes to mind is the analysis of a system based on the component reliabilities, but you can also use the same methodology to analyze a single component and its associated failure modes.

Example

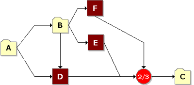
Consider a component that can fail due to six independent primary failure modes: A, B, C, D, E and F. The component fails if mode A, B or C occurs. If mode D, E or F occurs alone, the component does not fail; however, the component will fail if any two (or more) of these modes occur (i.e., D and E; D and F; E and F). Furthermore, assume that modes A, B and C can be broken down further into the events (sub-modes) that can cause them. Once a mode occurs, its sub-mode also occurs and does not go away.

The following RBD illustrates the relationship between the primary modes. The subdiagram blocks A, B and C contain the sub-modes, and the node represented by 2/3 indicates the k-out-of-n configuration (in this case, 2 out of 3 paths must occur for the component to fail).

The objective of the analysis is to obtain the following:

  • The reliability of the component after 1 year (8,760 hrs).
  • The B10 life of the component.
  • The MTTF (mean-time-to-failure) of the component
  • The rank of the modes in order of importance at 1 year.
  • The reliability, B10 life and MTTF of the component if mode B were eliminated.

Analysis

We begin the analysis by defining the sub-modes of blocks A, B and C.

Step 1: Mode A

There are five independent (i.e., if one mode occurs, the rest are not more likely to occur) sub-modes associated with mode A: events S1, S2, T1, T2 and Y. Assume that:

  • Events S1 and S2 each have a constant rate of occurrence with a probability of occurrence of 1 in 10,000 and 1 in 20,000, respectively, in a single year (8,760 hours).
  • Events T1 and T2 are more likely to occur in an older component than a newer product (i.e., they have an increasing rate of occurrence) and have a probability of occurrence of 1 in 10,000 and 1 in 20,000, respectively, in a single year and 1 in 1,000 and 1 in 3,000, respectively, after two years.
  • Event Y also has a constant rate of occurrence with a probability of occurrence of 1 in 1,000 in a single year.

There are three possible ways for mode A to manifest itself:

  • Events S1 and S1 both occur.
  • Event T1 or T2 occurs.
  • Event Y and either event S1 or event S2 occur (i.e., events Y and S1 or events Y and S2).

The following RBD illustrates the conditions for mode A.

Figure 2: RBD of Mode A

The RBD includes a starting block (NF) and an end node (2/2). The starting block is set to a reliability equal to 1 or 100% so that it cannot fail and, therefore, will not affect the results of the analysis. The end node indicates that both paths leading into the node must work in order for mode A to occur.
Based on the given probabilities, compute the distribution parameters for each block. For events S1, S2 and Y, you can use an exponential distribution because a constant rate of occurrence was assumed. Figures 3 and 4 show how you can use the Quick Parameter Experimenter (QPE) in BlockSim to compute the mean time of event S1. The mean time for events S2 and Y can be computed in a similar manner.

Figure 3: Block Properties Window and Model Wizard (inset)

Figure 4: Quick Parameter Experimenter and the Mean Time of Event S1

Events T1 and T2 need to be modeled using a life distribution that does not have a constant failure rate. The following picture shows the computed parameters of event T1 using a 2-parameter Weibull distribution. The parameters for T2 can be computed in a similar manner.

Figure 5: Quick Parameter Experimenter and the Parameters of Event T1

Setp 2: Mode B

There are three dependent sub-modes associated with mode B: events BA, BB and BC. Two out of the three events must occur for mode B to occur. Events BA, BB and BC have an exponential distribution with a mean of 50,000 hours. The events are dependent (i.e., if BA, BB or BC occurs, the remaining events are more likely to occur). Specifically, when one event occurs, the MTTF of the remaining events is cut in half. This is basically a load sharing configuration. The reliability function for each block will change depending on the other events. Therefore, the reliability of each block is not only dependent on time, but also on the stress (load) that the block sees.

The following picture shows the RBD of mode B. The blocks representing the sub-modes are inside a load sharing container.

Figure 6: Load Sharing Container for Mode B

The following picture shows the Block Properties window of the load sharing container. The Number of paths required field is set to 2, indicating that 2 out of the 3 contained events must occur for mode B to occur.

Figure 7: Block Properties Window of Load Sharing Container

To describe the dependency between the events, BlockSim uses a multiplier called the weight proportionality factor, which determines how the load will be shared. For example, if a container holds two blocks and one block has a factor of 3 while the other has a factor of 9, then the first block will receive 25% of the load (3/12) and the second block will receive 75% of the load (9/12).

In this case, all three contained blocks have a weight proportionality factor equal to 1, indicating that they will share the load evenly (33.33% of the load each) when all are operating. If one fails, then the other two will take over the load. The weight proportionality factor needs to be set up in each block in the load sharing container, as shown in the following example.

Figure 6: Load Sharing Container for Mode B

The following picture shows the Block Properties window of the load sharing container. The Number of paths required field is set to 2, indicating that 2 out of the 3 contained events must occur for mode B to occur.

Figure 8: Block Properties Window of Sub-Mode BA

Step 3: Mode C

There are two sequential sub-modes associated with mode C: events CA and CB. Both events must occur for mode C to occur. Event CB will occur only if event CA has occurred. If event CA has not occurred, then event CB will not occur. Both events, CA and CB, occur based on a Weibull distribution. For event CA, beta = 2 and eta = 30,000 hours. For event CB, beta = 2 and eta = 10,000 hours.

This scenario is similar to standby redundancy. Basically, if CA occurs then CB gets initiated. The following picture shows the RBD of mode C. The blocks representing the sub-modes are inside a standby container.

Figure 9: Standby Container for Mode C

The following picture shows the Block Properties window of the standby container. For this analysis, a perfect switch (always works, instant switch and no delays) is assumed; therefore, the switch model is set to Default-Cannot Fail. The Number of active paths required field indicates that at least one event must occur for mode C to occur

Figure 10: Block Properties Window of Standby Container

The operation of block CA is then set to Active (as shown in Figure 11), while block CB is set to Standby.

Figure 11: Block Properties Window of Sub-mode CA

Figure 11: Block Properties Window of Sub-mode CA

Step 4: Modes D, E and F

Modes D, E and F can all be represented using the exponential distribution. The failure distribution properties for modes D, E and F are presented next.

  • D: MTTF = 200,000 hours
  • E: MTTF = 175,000 hours
  • F: MTTF = 500,000 hours

Step 5: Component

The last step is to set up the RBD of the component in BlockSim (as shown in Figure 1), and then calculate the answers to the questions posed earlier.

  • Using the Analytical QCP, the reliability of the component at 1 year (8,760 hours) is estimated to be 97.3517%
  • Using the Analytical QCP, the B10 life of the component is equal to 14,715.5509 hours.
  • Using the Analytical QCP, the mean life of the component is equal to 31,685.8921 hours.
  • The reliability importance plot displays the ranking of the modes after 1 year, as shown next.

Figure 12: Static Reliability Importance Plot at t = 8,760 hours

  • Assuming that mode B is removed, the results are:
    • R = 98.7007%
    • B10 = 16,867.4550 hours
    • MTTF = 34,321.2132 hours